加为收藏
联系我们
在线帮助
  注册 | 登陆 | 搜索 | 在线 | 日志 | 界面选择 | 回收站 | 首页
 
论坛首页 ==> ☆科学培优 ==> 浏览主题:[求助]讨论一下浙江省第七界科学竞赛的两道试题!
 
发表新主题发起新投票发表回复 ◇您是本帖第 109 位阅读者,共有回复 2 篇◇
主题:  [求助]讨论一下浙江省第七界科学竞赛的两道试题! 保存该页为文件 把本贴加入IE收藏夹
 cappuccino 帅哥哟,离线



 等级:入学新生
 威望:0
 发贴:106篇
 经验:367
 财产:1050dxxo元
 魅力:541
 注册:2005-5-28
按此观看cappuccino的个人资料 按此发论坛短信给cappuccino 按此添加cappuccino到好友列表 按此搜索cappuccino在该版块发表的主题 复制这个帖子 引用这个帖子回复 直接回复此帖 顶 楼
标题:[求助]讨论一下浙江省第七界科学竞赛的两道试题! 字号
问大家一下,这两道题的详细过程谁能解释一下!(奖100金/题)
必须详细!!步骤最重要!!
1.学校教室朝正南窗户的气窗,窗框长L=0.8米,宽D=0.5米,气窗的总质量为6千克,且质量分布均匀。某同学用一根撑杆将气窗撑开,使气窗与竖直墙面成37°角,并且撑杆与窗面相垂直,不计撑杆重,如图所示。现有一股迎面吹来的水平南风,设其风压为Po=50牛/米2。试求:
(1)气窗窗面受到的风的压力;
(2)撑杆受到的压力;
(3)在无风的日子里,不考虑摩擦阻力,则把此气窗推开37°角至少需做多少功?
(已知:sin37°=0.6,cos 37°=0.8,g=1O牛/千克)


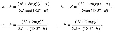
2.如图所示是人体的手臂模型,手臂的骨骼的长度如图所示,若在手掌中放一小球,其质量为m,设手臂长度为Z,水平部分手臂重为N,在肌肉与水平手臂成θ角的情况下,估计肌肉所受的力为 ( )
A. B.
C. D.

上传图片:
按此在新窗口浏览图片
上传图片:
按此在新窗口浏览图片
上传图片:
按此在新窗口浏览图片




发表时间 2006/2/4 15:45:42
IP已记录
 zhuwd163 帅哥哟,离线



 等级:青春少年
 威望:0
 发贴:41篇
 经验:85
 财产:128CPB元
 魅力:135
 注册:2005-9-20
按此观看zhuwd163的个人资料 按此发论坛短信给zhuwd163 按此添加zhuwd163到好友列表 按此搜索zhuwd163在该版块发表的主题 按此发邮件给zhuwd163 复制这个帖子 引用这个帖子回复 直接回复此帖 第1楼
标题:Re:[求助]讨论一下浙江省第七界科学竞赛的两道试题! 字号


================================================
此用户发言已经被屏蔽
======================================================


发表时间2006/2/14 11:02:16
IP已记录
 zhuwd163 帅哥哟,离线



 等级:青春少年
 威望:0
 发贴:41篇
 经验:85
 财产:128CPB元
 魅力:135
 注册:2005-9-20
按此观看zhuwd163的个人资料 按此发论坛短信给zhuwd163 按此添加zhuwd163到好友列表 按此搜索zhuwd163在该版块发表的主题 按此发邮件给zhuwd163 复制这个帖子 引用这个帖子回复 直接回复此帖 第2楼
标题:Re:[求助]讨论一下浙江省第七界科学竞赛的两道试题! 字号


================================================
此用户发言已经被屏蔽
======================================================


发表时间2006/2/14 11:09:48
IP已记录
[ 1 ] ..页次:1/1页 每页:20 回复数:2  
快速搜索:  跳转到:

 快速回复主题

   [求助]讨论一下浙江省第七界科学竞赛的两道试题!  

浙教版科学教学资源网,一定有你想要的... 免费资源



『www.yhkx.net』
本论坛言论纯属发表者个人意见,与本论坛立场无关

页面运行时间:250.000毫秒